logo
제품 소개핵 형성제

99% 순수성 핵을 형성하는 TMB-5 PP 청징제 CAS 153250-52-3

제가 지금 온라인 채팅 해요

99% 순수성 핵을 형성하는 TMB-5 PP 청징제 CAS 153250-52-3

99% 순수성 핵을 형성하는 TMB-5 PP 청징제 CAS 153250-52-3
99% 순수성 핵을 형성하는 TMB-5 PP 청징제 CAS 153250-52-3

큰 이미지 :  99% 순수성 핵을 형성하는 TMB-5 PP 청징제 CAS 153250-52-3

제품 상세 정보:
원래 장소: 중국 광동 종샨
브랜드 이름: BLK 7985 China
모델 번호: BLK 7985
결제 및 배송 조건:
최소 주문 수량: 100 킬로그램
포장 세부 사항: 10개 킬로그램 / 봉지 알루미늄은 플라스틱 bag+carton을 적층했습니다
배달 시간: 10 작업 일
지불 조건: 전신환, L/C (신용장), 인수 인도, D/P (지급도 조건), 웨스턴 유니온
공급 능력: 300 톤

99% 순수성 핵을 형성하는 TMB-5 PP 청징제 CAS 153250-52-3

설명
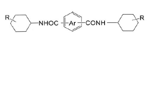
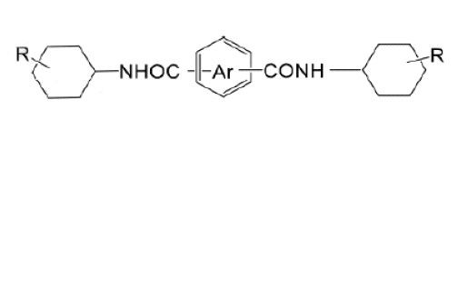
화학 구조: N'-dicyclohexyl-2,6-naphthalene 다이카복스아미드인 엔 CAS: 153250-52-3
애플리케이션: PP 특성 변경 화학명: (베타) ß 핵 형성제
모델명: BLK 7985 합성의: 아릴 아마이드 합성물
순도: 99% 동의어: TMB-5
강조하다:

TMB-5 PP 청징제

,

153250-52-3 PP 청징제

,

99% 순도 PP 청징제

BLK 7985 PP용 청징제
중국 최고 정화제 제조업체.
평가판을 위한 Fedex UPS의 무료 샘플.
중국에서 빠른 배송.
 
특징
• 핵제 BLK-7985(TMB-5)는 아미드계 폴리프로필렌 β-결정 핵제의 대표적인 변종이다.그것은 폴리프로필렌(PP)의 가공 온도에서 수지 용융물에 용해될 수 있고 용융 온도의 감소와 함께 재결정화되어 더 큰 종횡비를 갖는 막대형 결정을 형성함으로써 β-결정질 결정으로 PP의 핵형성을 유도하여 개선된다. 충격 강도, 열 변형 온도 및 제품의 미세 다공성.이에 반해 BLK-7985(TMB-5)는 구조가 안정하고 PP의 β-결정질 함량이 용융압출을 반복해도 영향을 받지 않는다.
 
애플리케이션
• PP-R 파이프, 사출 성형 제품 및 리튬 건전지 다이아프램 제조 공정에 널리 사용되며 탄산칼슘과의 시너지 효과가 좋습니다.또한, BLK-7985는 폴리부텐-1(PB-1)에 대한 핵형성 촉진 효과가 있다.
 
 
물리화학적 성질

시험항목
기술 사양
모습
백색 분말
녹는 점
최소 340℃
건조 손실
최대 1.0%
덧셈
0.05-0.15ph

 
• 실제 첨가량은 폴리머 및 최종 제품의 특성에 따라 다릅니다.
• 위의 물성은 충분한 실험실 테스트를 통해 검증된 것으로 보증은 아닙니다.장비 공정의 공식화 및 기타 포괄적인 고려 사항에 따라 특정 금액의 공정을 사용합니다.
 
패키지 및 배송
• 10kg/가방 알루미늄 적층 비닐 봉투, 방습 + 종이상자 또는 고객
• 100-1000KGS 5일, 1000-10,000KGS 15일 등
 
취급 및 보관
건조하고 통풍이 잘되는 창고 내부에 보관하고 직사광선을 피하고 약간 쌓아 둡니다.
• 보호복착용해야작업자가 이 제품을 취급하거나 노출될 때.자세한 내용은 MSDS를 참조하십시오.

연락처 세부 사항
Yongwell Trading (shanghai) Co.,Ltd

담당자: Mr. SUPING. JIANG

전화 번호: +86 135 2473 2599

회사에 직접 문의 보내기 (0 / 3000)